냉동 블루베리를 아침에 스무디로 먹으면 항산화력이 하루종일 지속되서 아침대용으로 먹기에 너무 좋은 음식입니다. 그런데, 이런 냉동 블루베리를 그냥 먹으면 큰일나는 이유가 있습니다. 오늘은 냉동 블루베리를 그냥 먹으면 왜 안되는지와 우유와 냉동 블루베리를 함께 먹으면 안되는 이유 그리고 맛있고 영양가 높은 냉동 블루베리 스무디를 만드는 법에 대해서 자세히 설명 드리겠습니다.

Table Of Contents
블루베리의 효능
블루베리는 미국 타임지가 선정한 세계 10대 슈퍼푸드로 우리의 건강에 다양한 이점을 제공합니다.
블루베리는 안토시아닌이라는 강력한 항산화 성분을 함유하고 있어서 노화방지와 면역력 증진에 도움이 됩니다. 그 외에도 뇌세포를 보호하고 뇌기능을 개선하는데 도움이 됩니다.
블루베리에 함유된 안토시아닌성분은 당뇨가 있으신 분들에게도 도움이 되는데 인슐린 저항성을 개선할 수 있다고 합니다.
이 외에도 중요한 블루베리의 효능으로는 안구의 예민함을 줄여주고 눈의 피로와 뻑뻑한 느낌등을 막아줍니다. 안토시아닌은 근시 완화에도 효과적이라고 알려져 있습니다.
그뿐 아니라 혈압조절 콜레스테롤 감소, 위장 건강 개선등 매우 다양한 효과를 가지고 있는 우리 몸에 아주 좋은 먹거리입니다.
GR 씻어나온 캐나다 무첨가 냉동 블루베리 1kg 과채가공품 냉동과일 안토시아닌 눈영양 : 그린 커
GR 씻어나온 캐나다 무첨가 냉동 블루베리 1kg 과채가공품 냉동과일 안토시아닌 눈건강
smartstore.naver.com
블루베리가 좋은 이유
블루베리의 다양한 효능과 더불어 블루베리가 좋은 이유가 있습니다.
바로 껍질째 먹을 수 있다는 것입니다. 대부분의 과일들은 몸에 좋은 성분이 다 껍질에 집중되어 있기 때문에 깨끗하게 씻어서 껍질째 먹는 것이 좋습니다.
그런데, 복숭아도 참외도 키위도 껍질에 영양이 다 들어있는데, 막상 우리가 먹을 때는 습관처럼 껍질은 다 벗겨버리고 과육만 먹게되는게 일반적입니다.
포도도 알맹이만 쏙쏙 빼먹고 껍질만 무지하게 쌓이잖아요. 그래서 과일 껍질에 몸에 좋은 건 아는데 잘 안 먹게 되죠.
그런데 블루베리는 아무런 부담감 없이 껍질째 섭취함으로써 이 과일이 우리에게 선사하는 모든 건강상의 이로움을 통째로 흡수할 수 있습니다.
그래서 어른들한테도 좋고 특히 게임 많이 하고 핸드폰 많이 해서 시력이 금방 나빠지는 아이들 그리고 공부하는 학생들이 집에 있다면 블루베리는 무조건 추천해 드립니다.
요즘은 생과보다 냉동 블루베리를 주스로 갈아먹는 경우가 많습니다. 저도 오늘 블루베리 주스를 만들어 봤는데 색깔도 좋고 맛도 좋습니다.
특히 아침에 냉동 블루베리를 주스 만들어 먹으면 시간도 오래 걸리지 않고 좋습니다.
그런데, 과연 냉동 블루베리는 영양소가 파괴되지 않을까요?
그리고, 냉동 블루베리를 그냥 먹으면 큰일 나는 경우가 있습니다.
이제부터 이런 내용들에 대해서 연구결과를 토대로 설명해 드리도록 하겠습니다.
블루베리등의 과일이나 채소를 냉동하면 영양가가 있을까요?
영양학적으로 블루베리의 가장 핵심 성분은 안토시아닌입니다. 보라색을 띄는 성분입니다. 블루베리의 영양소가 파괴되지 않고 유지되는 지를 확인하려면 안토시아닌의 함량을 보면 됩니다.
그래서 시드니 뉴 사우스웨일즈(New South Wales) 대학의 연구진이 실험을 진행했습니다.

우리가 블루베리를 냉동하거나 냉장하거나 건조했을 때 이 핵심 영양소가 어떻게 달라지는지 살펴본 것입니다.
결론적으로 블루베리가 생과일때는 7.2를 가지고 있던 블루베리의 안토시아닌 함량이 냉장 보관 2주째 5.7로 떨어졌습니다. 건조했을 때는 4.3으로 더 많이 감소했습니다.
반면에 냉동을 했더니 한 달째는 8.1로 안토시아닌 함량의 수치가 오히려 올라갔고, 3개월째에서도 7.9로 전체적으로 생과일 때 안토시아닌 함량보다 증가하는 것으로 나타났습니다.

그렇다면 궁금한 것이, 블루베리 외에 다른 과일이나 채소를 냉동시키면 어떻게 되는지 궁금합니다.
과일은 영양소 종류에 따라 냉동 보관했을 때 보존력이 강한 것과 약한 것이 있습니다.
예를 들어, 딸기의 한 종류인 라즈베리를 살펴보겠습니다.
라즈베리는 폴리페놀 성분이 가장 중요한데 폴리페놀 함량은 생과일 때는 킬로당 200mg 정도입니다. 그런데 이를 냉동하면 350mg으로 폴리페놀의 수치가 증가하였습니다.

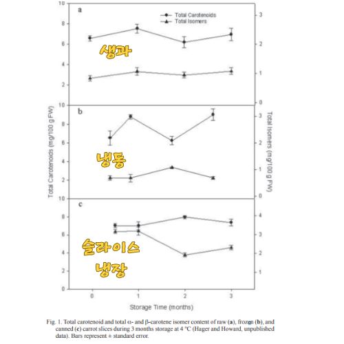
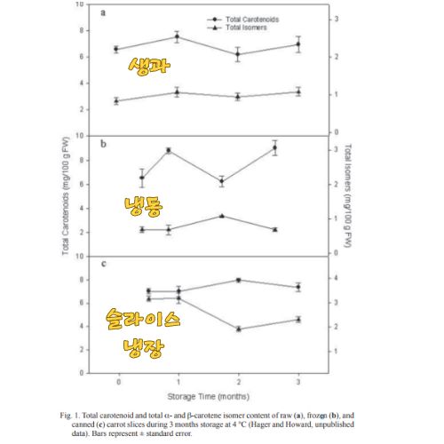
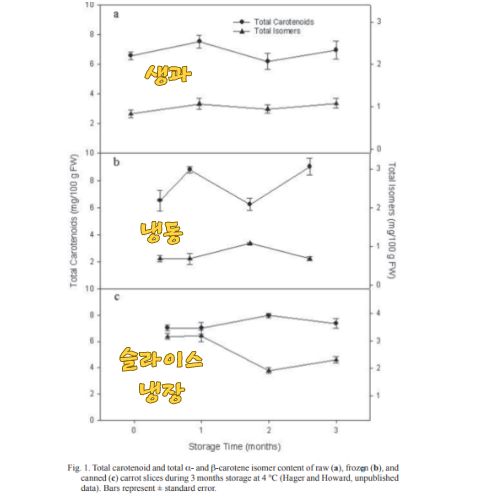
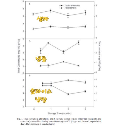
반면, 당근 같은 경우에는 당근의 핵심 영양소라고 할 수 있는 베타카로틴은 냉동 보관시 일부 감소하였습니다. 당근의 경우에는 슬라이스 해서 4 °C 정도로 냉장보관했더니, 영양소가 더 증가하는 것으로 연구되었습니다.

그럼 지금까지 본 내용들 중 오늘의 주인공인 냉동 블루베리에 대한 시드니 뉴 사우스웨일즈 대학의 연구결과를 다시 한번 요약하면 다음과 같습니다.
- 안토시아닌 함량: 신선한 블루베리에는 7.2 ± 0.5 mg/g의 총 안토시아닌이 들어 있으며, 건조 처리 후에는 이 수치가 감소합니다.
- 건조 및 냉동 처리: 건조는 안토시아닌 수준을 감소시키지만, 냉동 처리된 블루베리는 3개월 동안 안토시아닌 수준이 더 증가합니다.
- 항산화 활성: 건조 및 냉동 처리후에도, 블루베리 추출물의 항산화 활성은 신선한 블루베리와 유의미한 차이가 없습니다.
시드니 뉴 사우스웨일즈 대학의 연구논문 전문은 아래 링크에서 다운받으실 수 있으니 관심있으신 분들은 참고하세요.
블루베리와 같은 냉동 과일이나 채소 그냥 먹으면 큰일 나요
앞서 설명드린 것처럼 결론적으로 영양소마다 또 그런 영양소를 가지고 있는 채소나 과일마다 생과가 더 좋은지 냉동이 더 좋은지는 다릅니다. 그러므로, 모든 냉동 과일이 좋은 것은 아니지만 블루베리나 라즈베리와 같은 베리류들은 냉동했을 때 영양소가 유지되거나 더 많아지는 것으로 알고 계시면 됩니다.
그중 특히 오늘 소개하는 블루베리는 확실히 냉동 블루베리가 생 블루베리보다 보관하기도 좋고 먹기도 편합니다.
블루베리나 딸기 같이 보존 기간이 짧은 것들을 영양소 파괴도 적거나 오히려 더 좋고 편하게 먹는다는 관점에서 선택하시면 됩니다.
그런데, 편한 만큼 먹었을 때 주의할 점이 좀 있습니다
일단 과일은 보통 씻어 먹는 게 일반적인데 냉동 블루베리는 씻지 않고 그냥 먹는 경우가 많습니다.
그런데 제품에 따라서는 별도의 세척이 꼭 필요한 경우도 있습니다.
제품 봉지에 적혀있는 식품 유형을 보면요 과채가공품과 농산물로 나뉘는데, 과채 가공품이라면 세척 후에 급속 냉동을 하기 때문에 씻지 않고 먹어도 되지만 농산물로 표기가 되어 있으면 냉동 외에는 별도의 가공하지 않았기 때문에 섭취 전에 반드시 세척을 하셔야 합니다.



며칠 전에 마트에서 구입한 냉동 블루베리인데, 안타깝게도 가공품인지 농산품인지 식품 유형의 표시되어 있지 않았습니다.
이렇게 식품 유형의 아예 표기되어 있지 않은 제품들도 제법 많기 때문에 명확하게 표기가 되어있지 않은 냉동 블루베리는 먹기 직전에 흐르는 물에 한 30초 정도 깨끗하게 씻어서 드시는 것을 추천드립니다.
특히 냉동 파인애플이나 냉동 망고 같은 다른 과일과는 달리 냉동 블루베리는 특히 껍질채 먹는 과일이기 때문에 더 신경 써야 합니다.

블루베리와 같이 껍질째 먹는 농산물은 농약이나 미생물에 있어서 자유롭지 못합니다. 씻지 않은 상태에서는 블루베리에 있는 다양한 미생물인 대장균, 리스테리아, 살모넬라등과 같은 세균이 있을 수 있습니다. 이 상태로 씻지 않고 급속 냉동을 하게 되면 이런 세균이나 미생물도 함께 얼어있다가 몸 안에서 녹으면서 구토, 설사, 복통등이 일어날 수 있고, 심한 경우 뇌수막염, 신부전 등이 발생할 수도 있습니다.
미생물이나 세균등이 있는 상태에서 씻지 않고 급속 냉동을 해버리면 미생물이나 세균등도 함께 얼려서 보관하게 됩니다.
그러므로, 냉동 블루베리를 구매하실 때에는 과채 가공품인지와 더 명확하게는 씻어서 급속 냉동한 제품인지 확인하시는 것이 가장 좋습니다.
GR 씻어나온 캐나다 무첨가 냉동 블루베리 1kg 과채가공품 냉동과일 안토시아닌 눈영양 : 그린 커
GR 씻어나온 캐나다 무첨가 냉동 블루베리 1kg 과채가공품 냉동과일 안토시아닌 눈건강
smartstore.naver.com
블루베리의 영양소를 보존하면서 씻는 법
블루베리를 너무 오래 씻는 것은 금물입니다. 블루베리 효능의 핵심이 되는 안토시아닌 성분을 수용성이에요 그래서 물에 오래 씻게 되면 안토시아닌 성분이 녹아 나올 수 있기 때문에 흐르는 물에 한 30초 정도만 깨끗하게 씻어서 드시면 됩니다. 이때 주의해야 할 것은 블루베리의 외부에 있는 흙이나 이물질 등이 없도록 잘 세척하는 것입니다.
2022년도 한국소비자연맹에서 시판 중인 냉동 제품 블루베리 6개 망고 8개 딸기 8개 총 20개의 제품에 대해서 안정성 평가를 보고서에서도 식품유형이 미 표시되어 있거나 농산물인 경우 주의하라고 권고하였습니다.


또 스무디를 비롯한 수많은 요리를 만들어 먹을 수 있다. 블루베리 1일 권장 섭취량은 20알에서 30알이다. 4시간 후에 효과가 생기며 하루 동안 이어집니다. 그러므로 꾸준히 먹는 것을 추천합니다. 또한 블루베리는 포도와 똑같게 껍질에 좋은 성분이 있습니다. 따라서 껍질에 영양분을 먹으려면 오랜 시간 씻으면 안되고 표면에 묻은 먼지를 빠르고 깨끗하게 제거하고 섭취해야 합니다.
만약, 생블루베리를 구입하셨다면 10~15일 동안 반드시 냉장고에서 보관하시고 그 이후는 냉동보관 해야 합니다.
냉동 블루베리 이렇게 먹으면 안돼요!
특히 냉동된 제품은 온도가 바뀌면서 미생물수가 갑자기 확 급증할 가능성이 있기 때문에 해동 후에 바로 섭취하셔야 합니다. 냉장고에서 따로 해동하지 말고 그냥 먹는 과정에서 해동에서 드시면 됩니다. 해동했다가 다시 냉동하는 것은 절대 금물입니다.
냉동실에서 나와서 녹게 되면 미생물이 급격하게 늘어날 텐데, 그 상태에서 다시 얼리면 미생물까지 그냥 같이 언 상태로 보관하게 됩니다.
그리고 다시 먹기 전에 또 해동을 한다면은 미생물이 더 많이 늘어날 수가 있기 때문에 점점 더 배탈이 날 가능성이 높아지게 됩니다.
냉동 블루베리 보관법
그런데 보통 냉동 블루베리는요 큰 봉지에 들어 있습니다. 그래서 아무래도 자주 냉동실에서 꺼냈다 넣었다를 반복하면서 조금씩이라도 녹았다가 또 어는 것이 반복될 수가 있습니다.
그래서 구입했을 때 한번 먹을 분량 그러니까 블루베리 한 30알 정도입니다.
이렇게 소분을 해서 밀폐된 봉제에 담아서 보관을 하시면 필요할 때마다 그냥 하나씩 딱딱 꺼내서 먹을 수가 있기 때문에 냉동실에 있는 것들은 온도 변화가 크지 않게 신선도를 잘 유지하면서 보관할 수가 있겠죠
그리고 여러분이 생과를 직접 얼리는 경우에도요 블루베리를 잘 깨끗하게 씻은 다음에 물기를 제거하고 마찬가지로 딱 일에 먹을 분량씩만 밀폐용기나 또 지퍼백 같은 봉지에 소분해서 담아서 냉동보관 하시면 신선한 상태에서 매번 냉동 블루베리를 드실 수가 있습니다
블루베리와 함께 먹으면 안 되는 음식
블루베리를 믹서에 갈아서 마실 때 보통 뭐 여러분 우유하고 함께 갈아서 이제 먹는 경우가 많습니다. 그런데 우유가 블루베리에 아주 안 좋다는 사실을 모르는 분들이 많습니다.
이태리 로마의 한 항산화 연구소에서요 블루베리 하고 우유에 궁합이 어떤지 연구한 실험이 있었습니다.
사람들을 두 그룹으로 나눠서 한 그룹은 블루베리하고 물을 마시게 하고, 다른 그룹은 블루베리하고 우유를 섭취하게 했습니다. 결과는 각각 1시간, 2시간 그리고 5시간 될 때 혈액을 채취해서 확인하였습니다.
블루베리와 물을 함께 섭취한 그룹에서는 혈액에서 항산화 물질이 아주 급증했지만 우유와 같이 섭취한 그룹은 굉장히 그 양이 적었습니다.
또 물과 함께 블루베리를 먹었을 때는 1시간 이내에 항산화력이 완전히 솟구치고 또 5시간 후에도 계속 상승된 상태를 유지했지만 우유 같은 경우에는 항산화력이 지속되지 않고 떨어지는 것을 확인할 수가 있었어요

결론적으로, 블루베리는 우유와 먹으면 효과가 감소하며 물과 함께 먹었을 때 항산화 효능이 매우 좋다는 것을 우리가 알 수가 있었습니다.
GR 씻어나온 캐나다 무첨가 냉동 블루베리 1kg 과채가공품 냉동과일 안토시아닌 : 그린 커머스
[그린 커머스] 건강에 도움이 되는 천연, 유기농, 영양가 풍부한 상품들로 여러분의 건강을 책임지겠습니다.
smartstore.naver.com
블루베리 스무디 레시피와 효능
아침에 블루베리 스무디를 한잔 먹으면 하루종일 효과를 볼 수 있습니다. 블루베리 1일 권장 섭취량은 약 30알인데요, 1시간 후에는 우리 몸과 혈액에 상당한 효과가 생기며 이 효과가 오랫동안 이어집니다. 그러므로 아침에 꾸준히 먹는 것을 추천드려요.
만약 생블루베리를 구입하셨다면, 10~15일 동안 냉장고에서 보관할 수 있는데, 앞서 보시 것처럼 씻어서 냉동하시거나 아예 처음부터 씻어져 있는 과채가공품 냉동 블루베리를 사는 것이 더 편리하고 좋습니다.
자 그럼, 앞에서 우유는 같이 넣는 것이 안 좋고 물 하고만 같이 갈아서 먹으면 진짜 밍밍합니다. 그래서 오트밀크나 아몬드 밀크 같은 대체 우유를 섞어서 블루베리 스무디를 만들면 아주 좋습니다. 오트나 아몬드는 영양소가 블루베리와 잘 맞기 때문에 블루베리 주스를 만들어 드실 때에는 같이 넣어서 활용하시면 좋습니다.
냉동 블루베리 1컵(30알) 냉동 아보카도 1/2컵 그리고 오트밀크 1팩과 꿀 한 스푼(1T)을 넣고 갈아서 드시면 아주 좋습니다. 물론 냉동 아보카도가 없으시면 블루베리만 넣으셔도 좋습니다.
여기에 오트밀크도 아몬드밀크로 대체하셔도 좋아요.

냉동 블루베리 주의사항과 먹는 법 요약
오늘은 냉동 블루베리에 대해서 말씀을 드렸습니다.
여러분이 제품을 구입하실 때 봉지에 농산물로 표기가 되어 있으면 반드시 흐르는 물에 한 30초 정도 깨끗하게 세척하고 이물질이 없는지 잘 확인하고 드시는 것이 좋겠습니다.
그리고 냉동실에서 계속 꺼냈다가 넣었다가 할 텐데 이렇게 하면 해동되고 냉동되고 이런 과정을 반복적으로 거치게 되면 미생물수가 급증할 수가 있습니다. 그래서 꺼내고 나서 바로 드시는 것이 좋고, 그리고 제 냉동하는 것은 안 됩니다.
한 번씩 딱 먹을 만큼만 소분해서 냉동보관 해주시면 신선하게 드실 수가 있습니다.
그리고 믹서기에 보통 우유와 같이 넣어서 갈아 드시는 분들이 많은데 우유는 블루베리의 항산화 효과를 떨어뜨리기 때문에 우유 대신에 오트밀크 같은 대체 우유로 활용하시면 좋겠습니다.
'건강' 카테고리의 다른 글
| 사과식초 고르는법과 천연발효식초 고르는 법 - 애플사이다비니거 비네거 초모, 애사비의 효능과 효과 (다이어트, 당뇨, 피로회복, 숙취해소등) (5) | 2024.04.24 |
|---|---|
| 블루베리의 효능과 효과 및 항산화 효과 높이는 법 - 블루베리 고르는 법과 보관방법 그리고 부작용 (3) | 2024.04.22 |
| 이탈리아 파로 곡물의 효능과 부작용 먹는법 - 당뇨와 혈당을 낮춰 다이어트에도 좋은 음식 (5) | 2024.04.15 |
| 다이어트 건강기능식품에 많은 가르시니아 캄보지아 추출물의 부작용과 주의사항과 효능에 대한 연구결과 요약 (1) | 2024.04.14 |
| 유산균을 먹어도 트러블이 계속되는 분들을 위한 솔루션, 장과 피부건강을 위한 포스트바이오틱스 유산균에 대해서 (16) | 2024.04.13 |






